当前位置:深圳新闻网首页 > 深圳新闻 > 图片深圳 > 

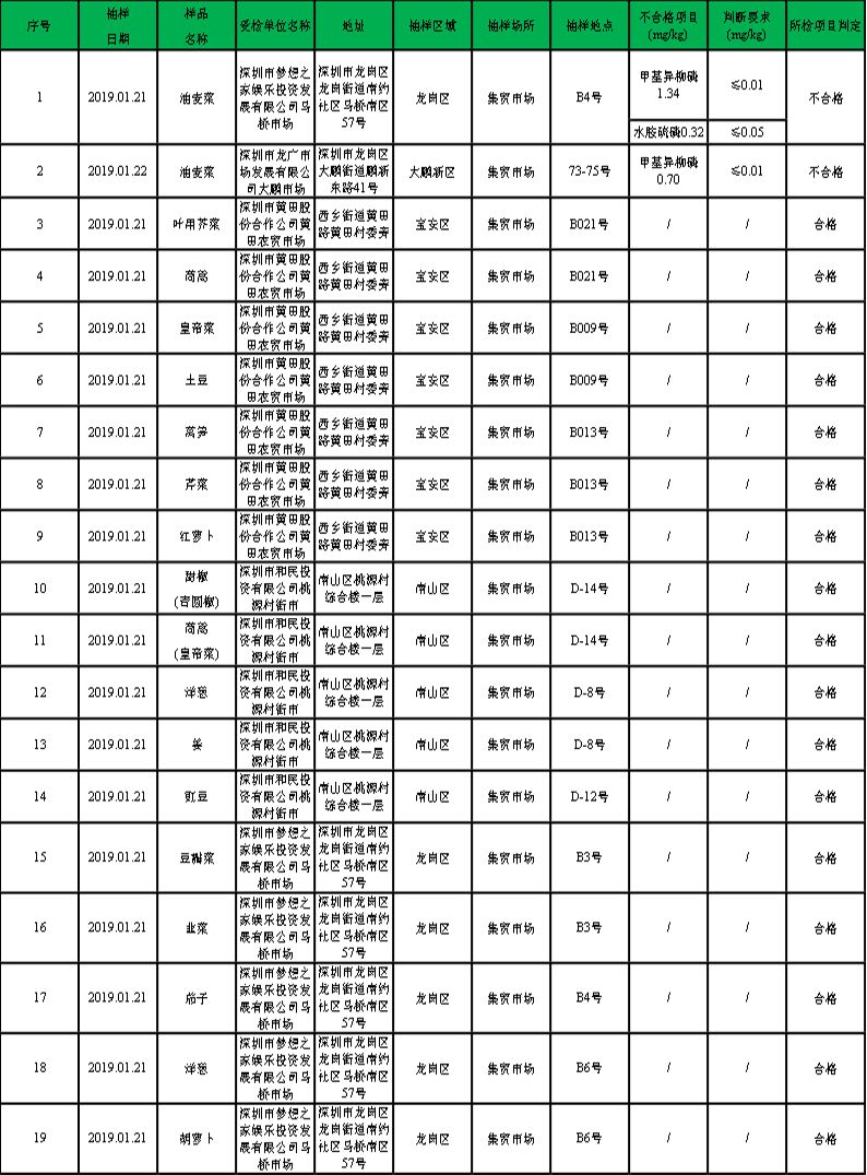
龙岗区这两批次蔬菜抽检不合格!快看是你爱吃的吗

2019-03-25 19:35来源:深圳新闻网

合格蔬菜榜单请看



记住要时刻关注抽检信息哦

想要身体健康

就从守护自己的菜篮子做起!

编辑整理:深圳食事药闻

转载请注明以上内

创建国家食品安全示范城市开展第四年,深圳的食品安全事业和这座城市共成长,得到了百姓的口碑和人大代表、政协委员的“点赞”。食品安全永远在路上,党的十九大吹响了“实施食品安全战略”的号角,深圳将以此为契机,严格落实“四个最严”要求,构建“供深食品”标准体系,全力打造市民满意的食品安全城市。

[责任编辑:刘婷]

新闻评论