当前位置:深圳新闻网首页 > 深圳新闻 > 图片深圳 > 

广东高考成绩各分数段数据公布:文科655分、理科691分以上各22人

2019-06-24 11:31来源:深圳新闻网

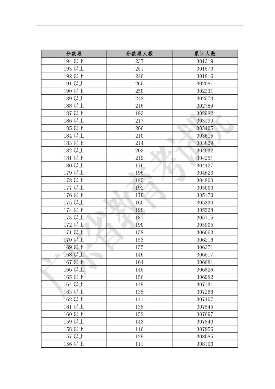
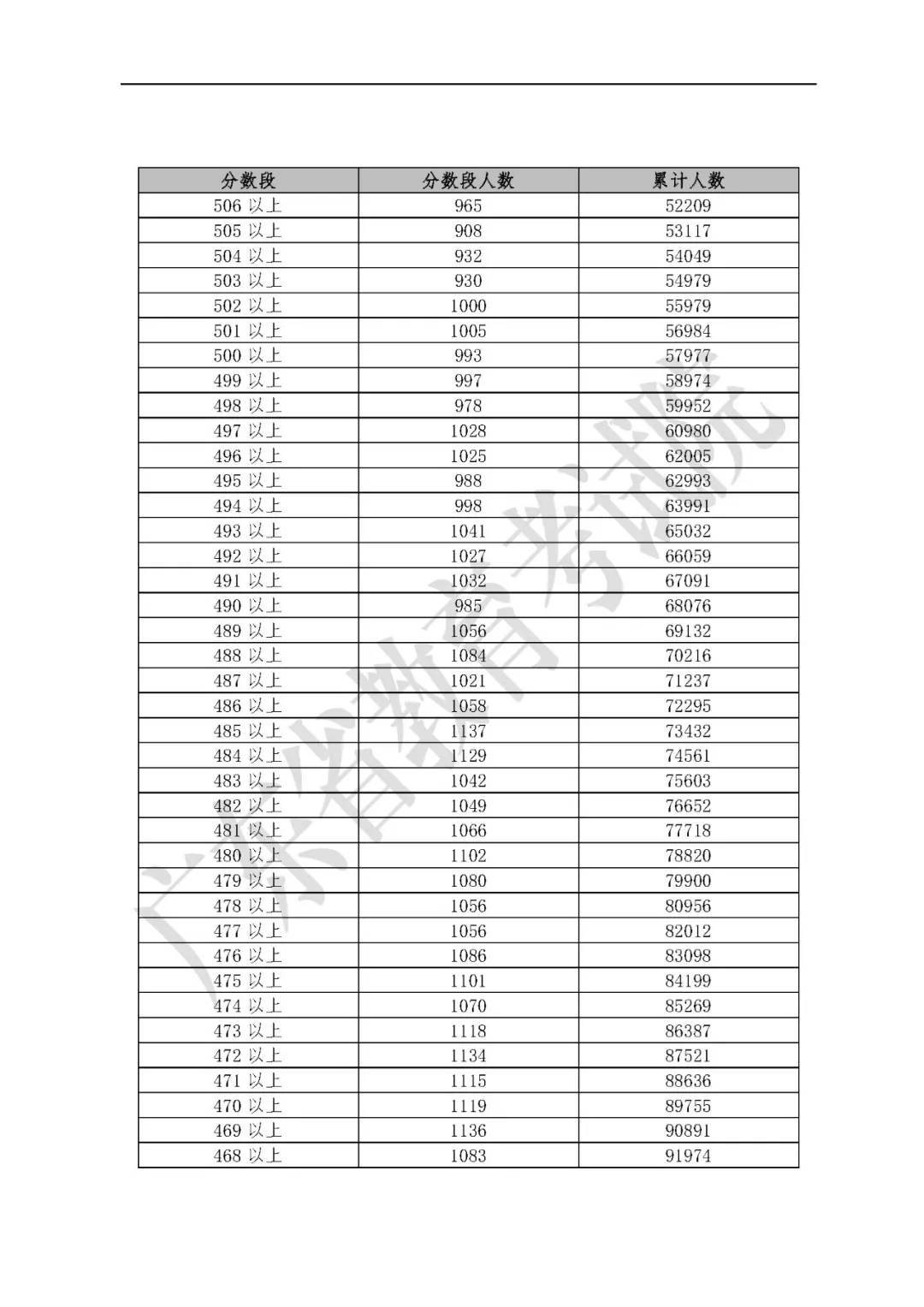
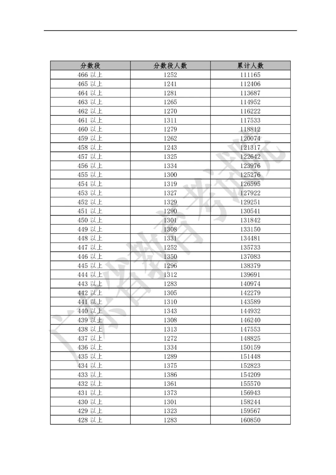
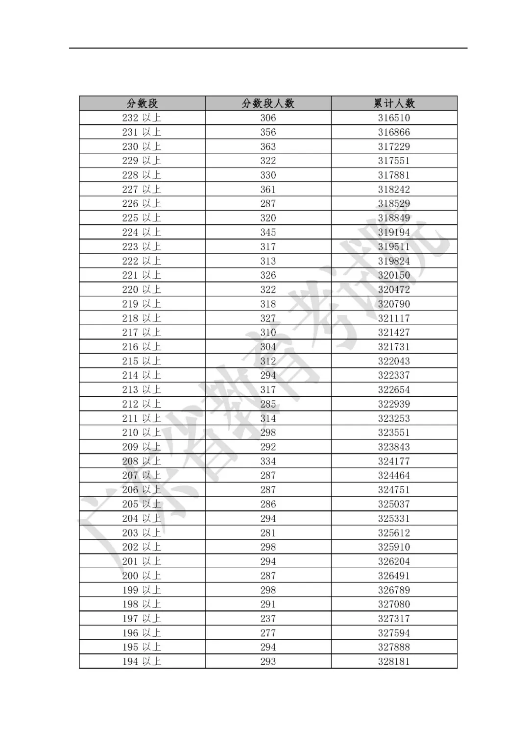
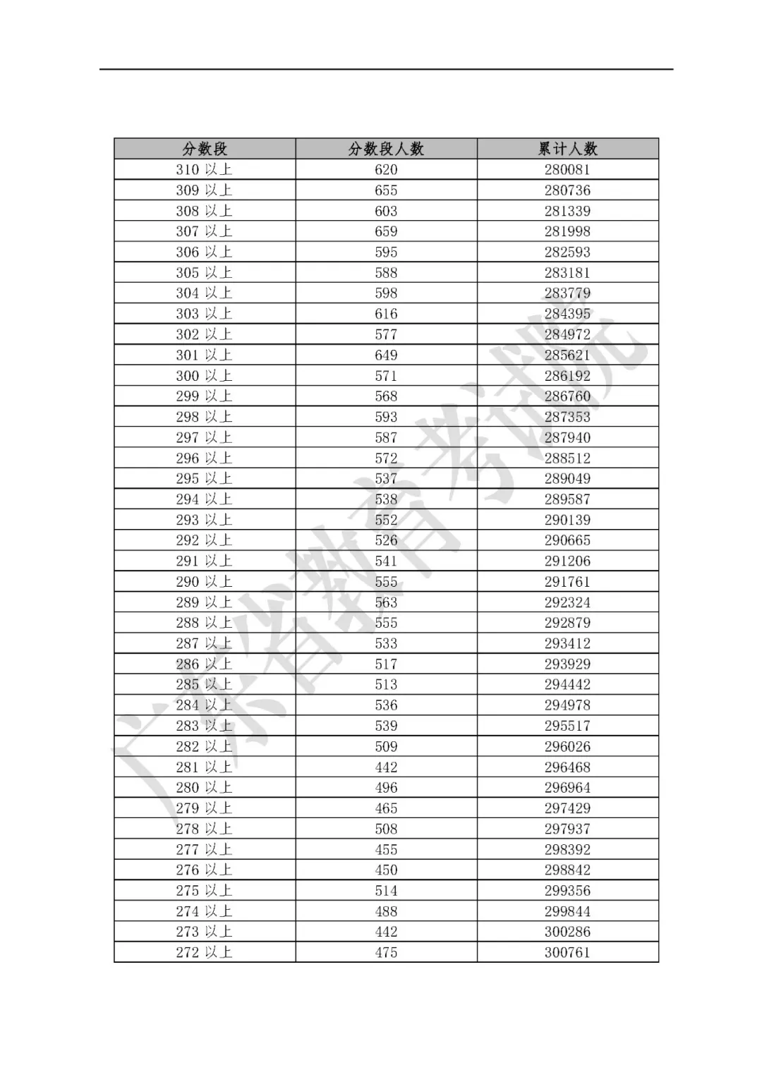
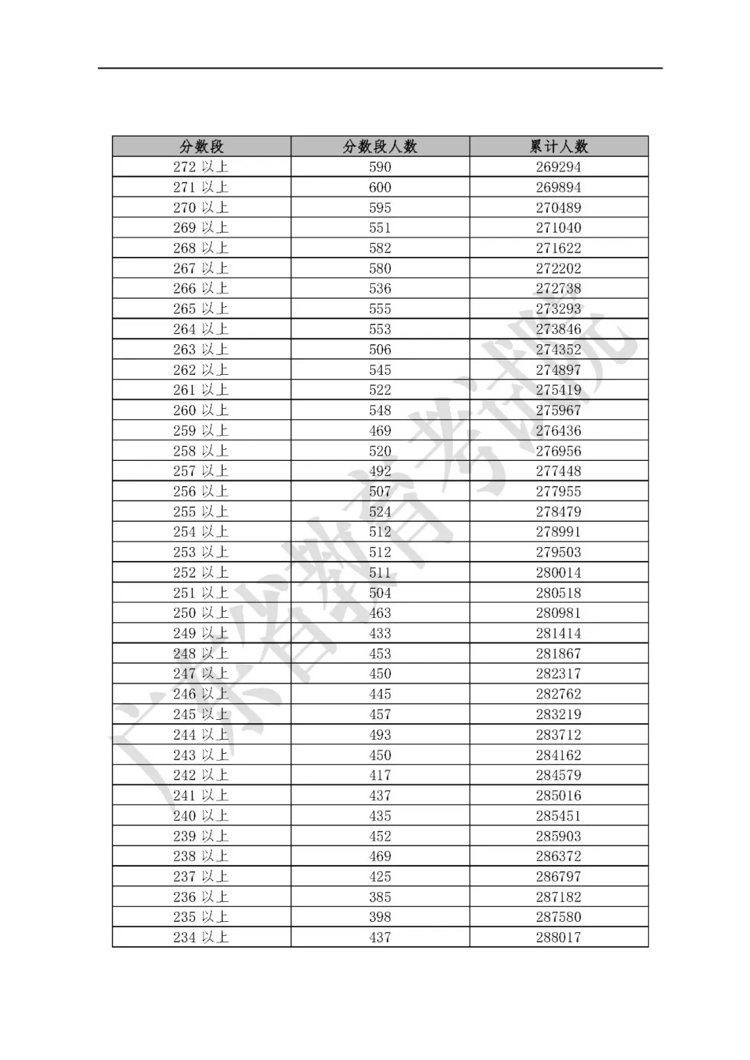
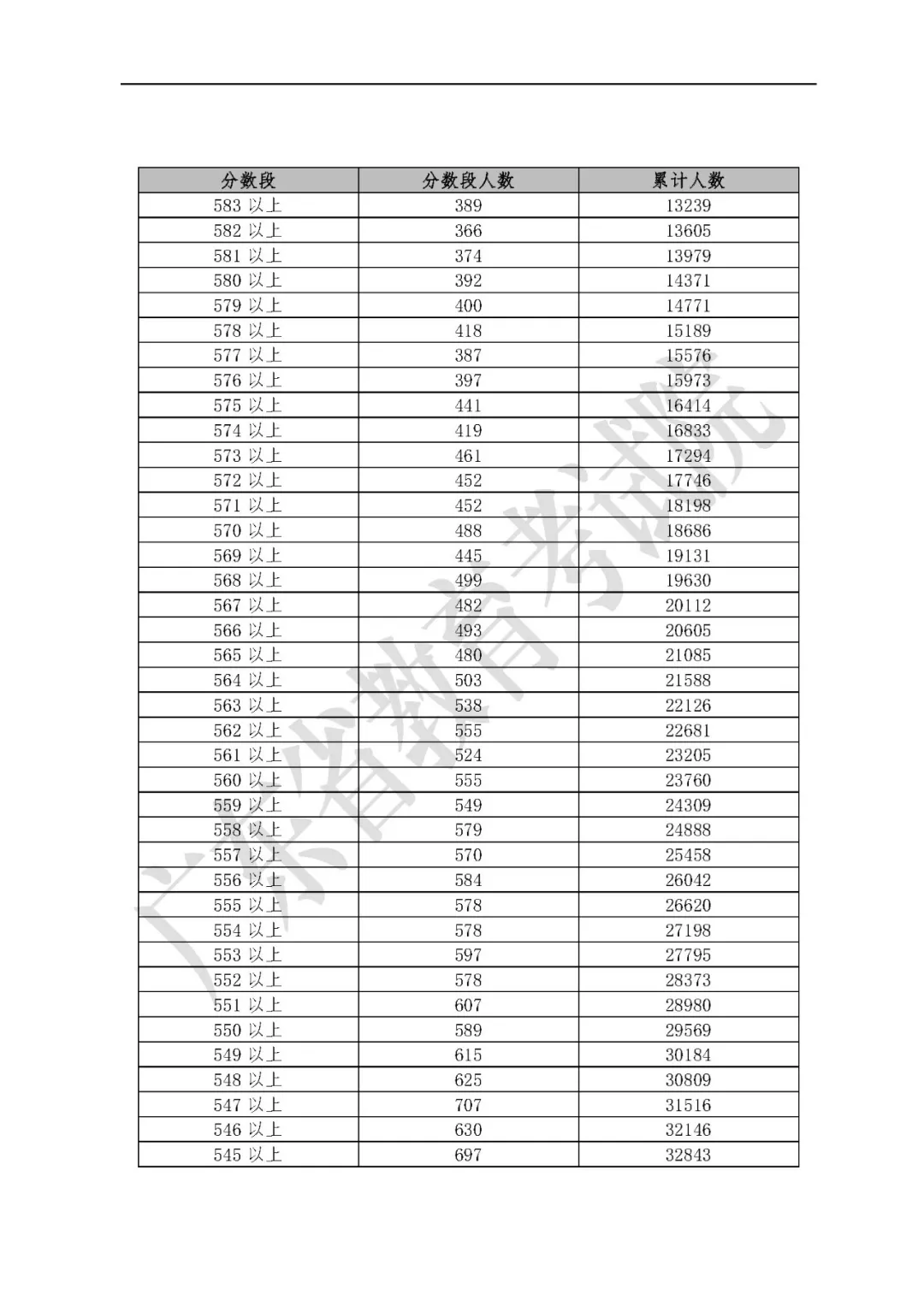
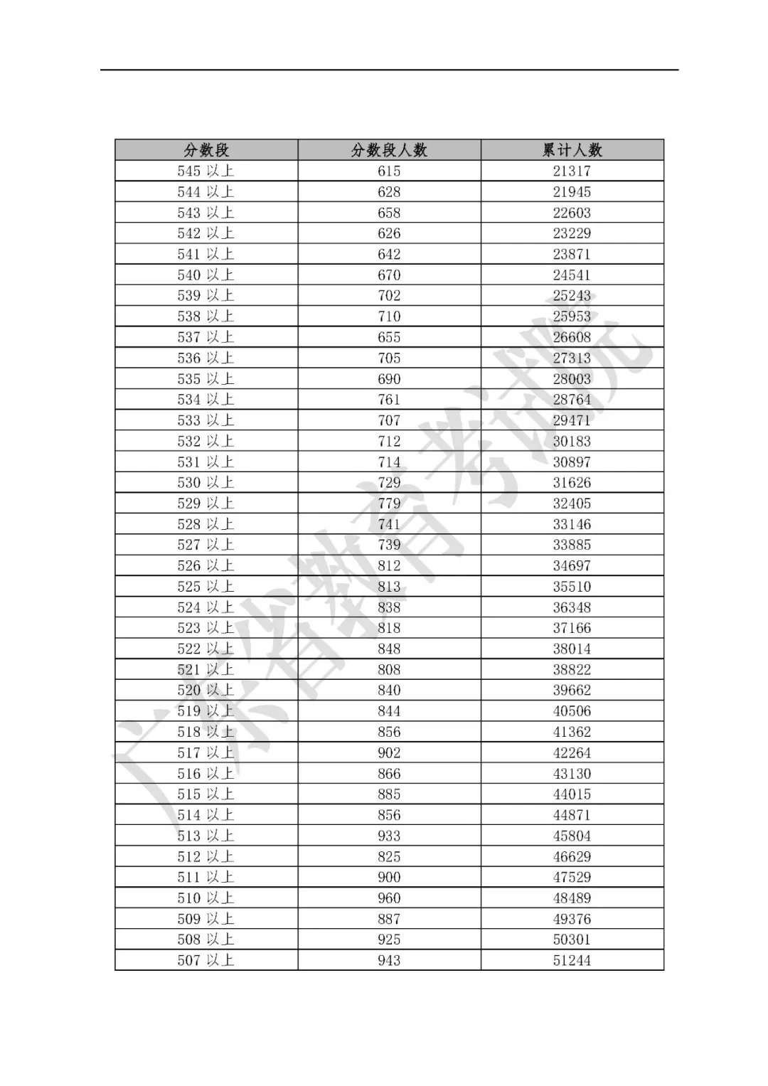
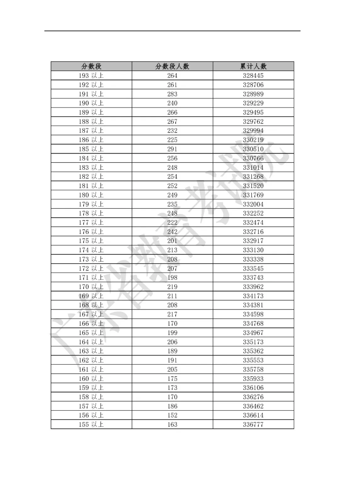
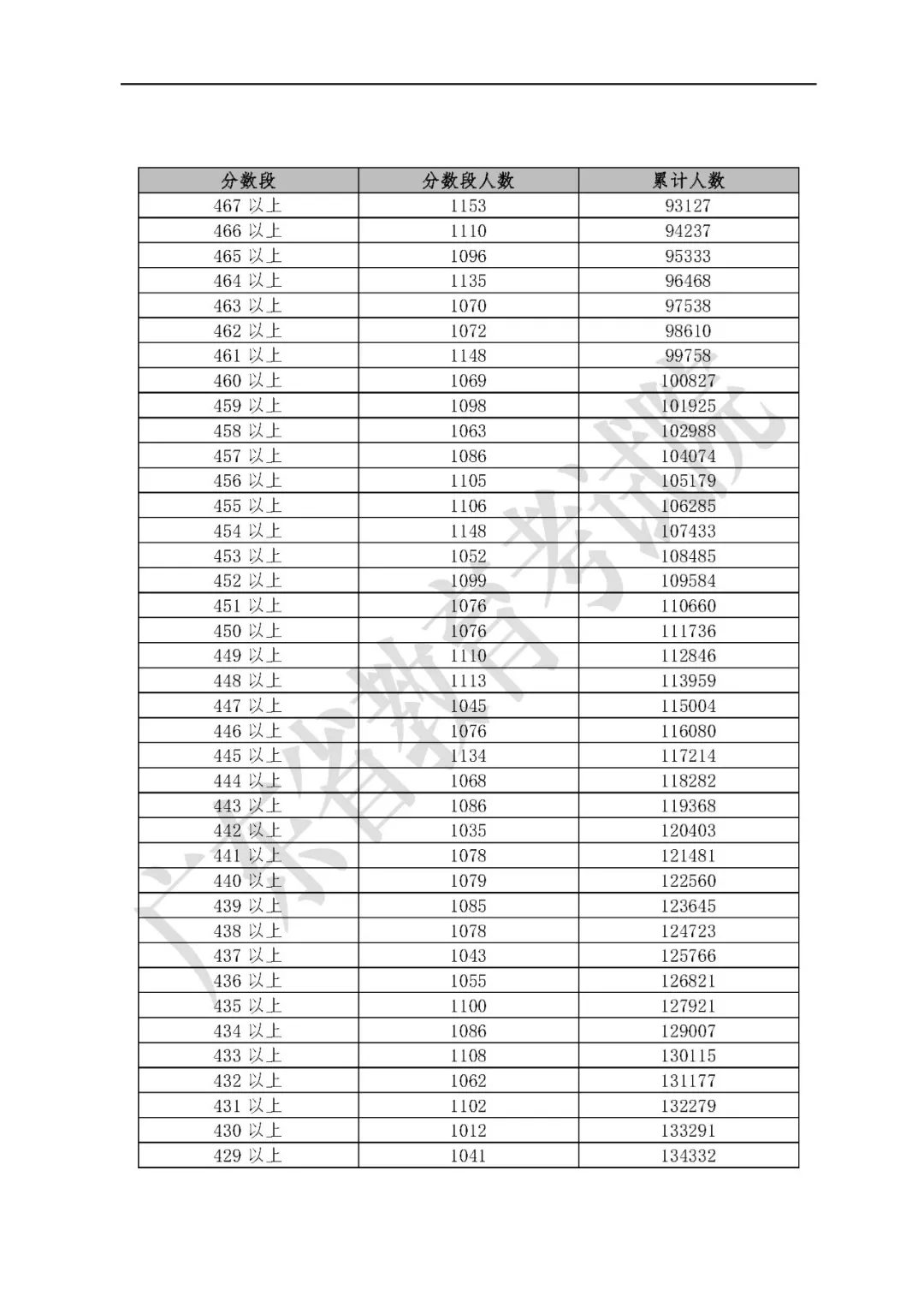
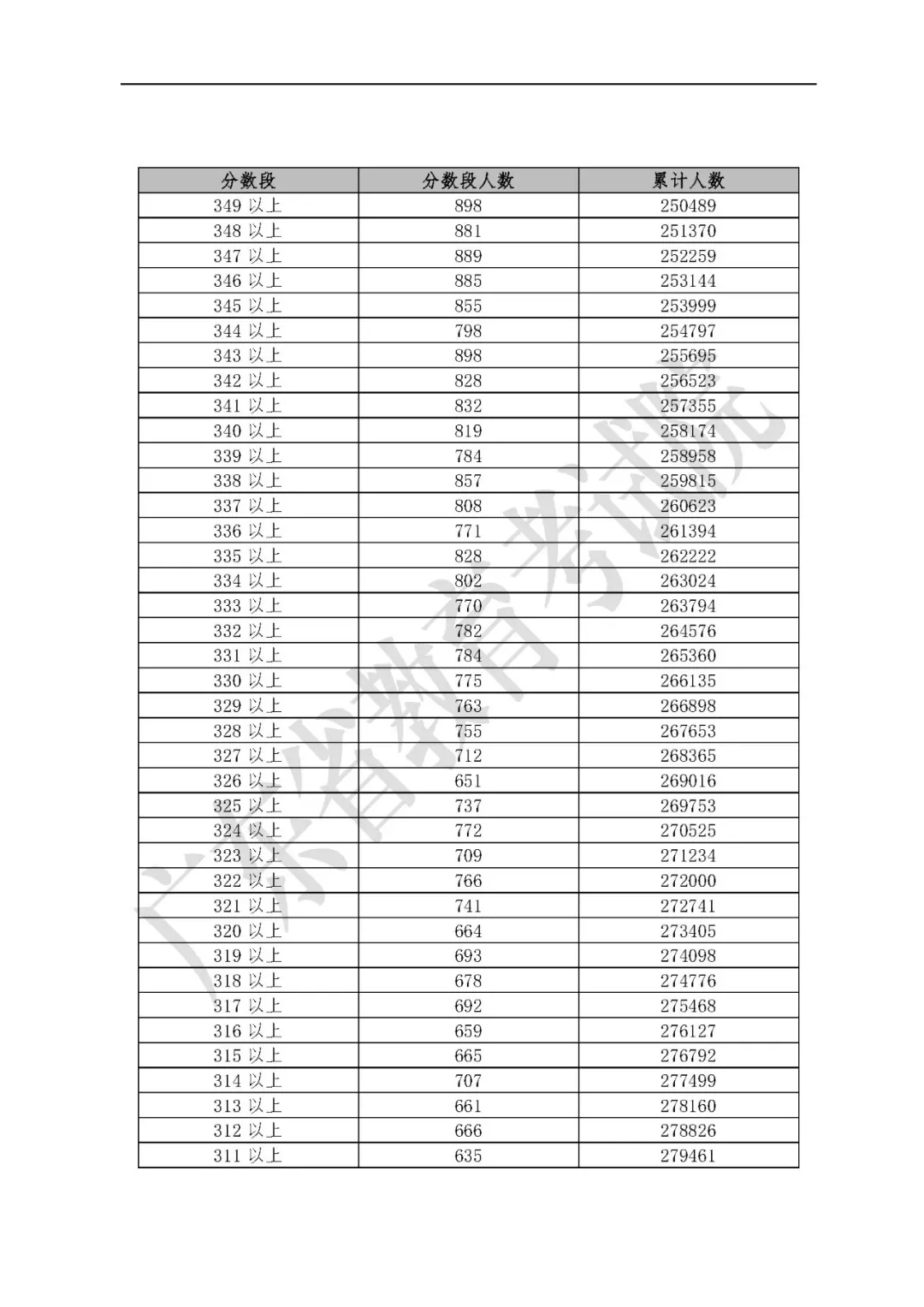
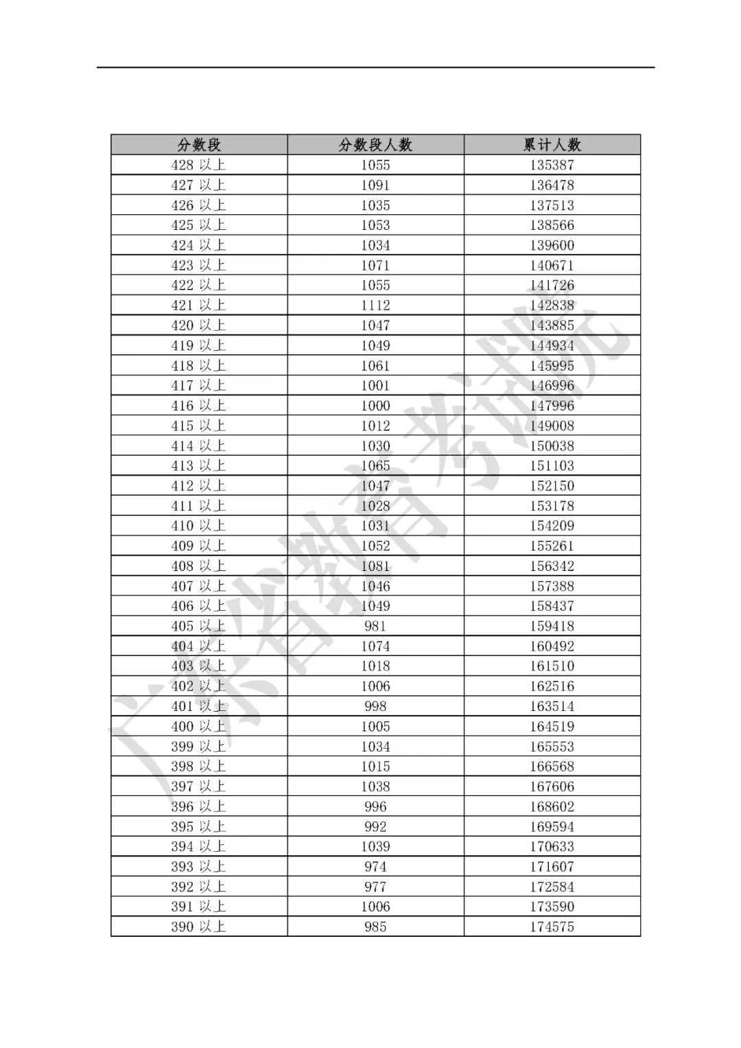
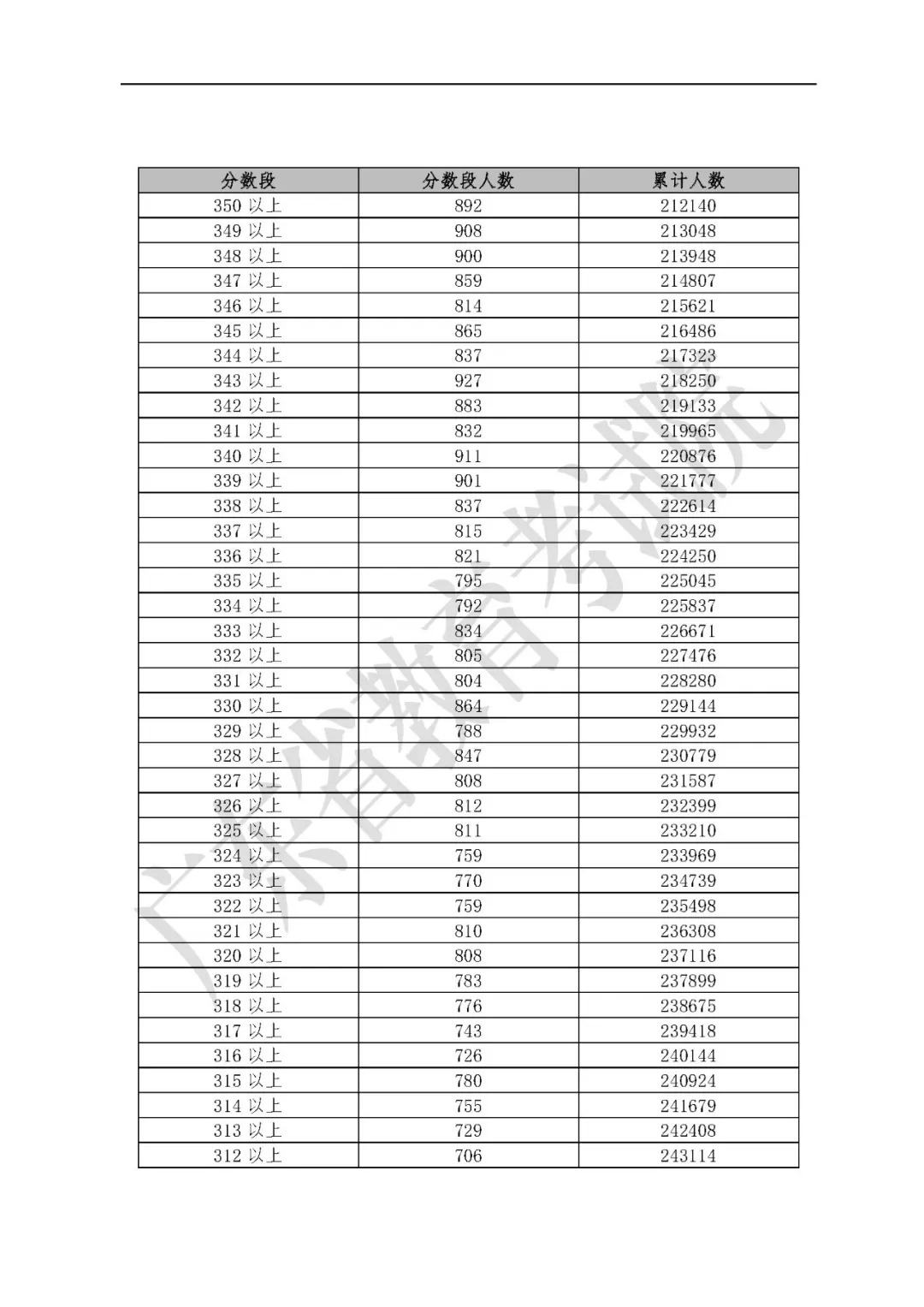
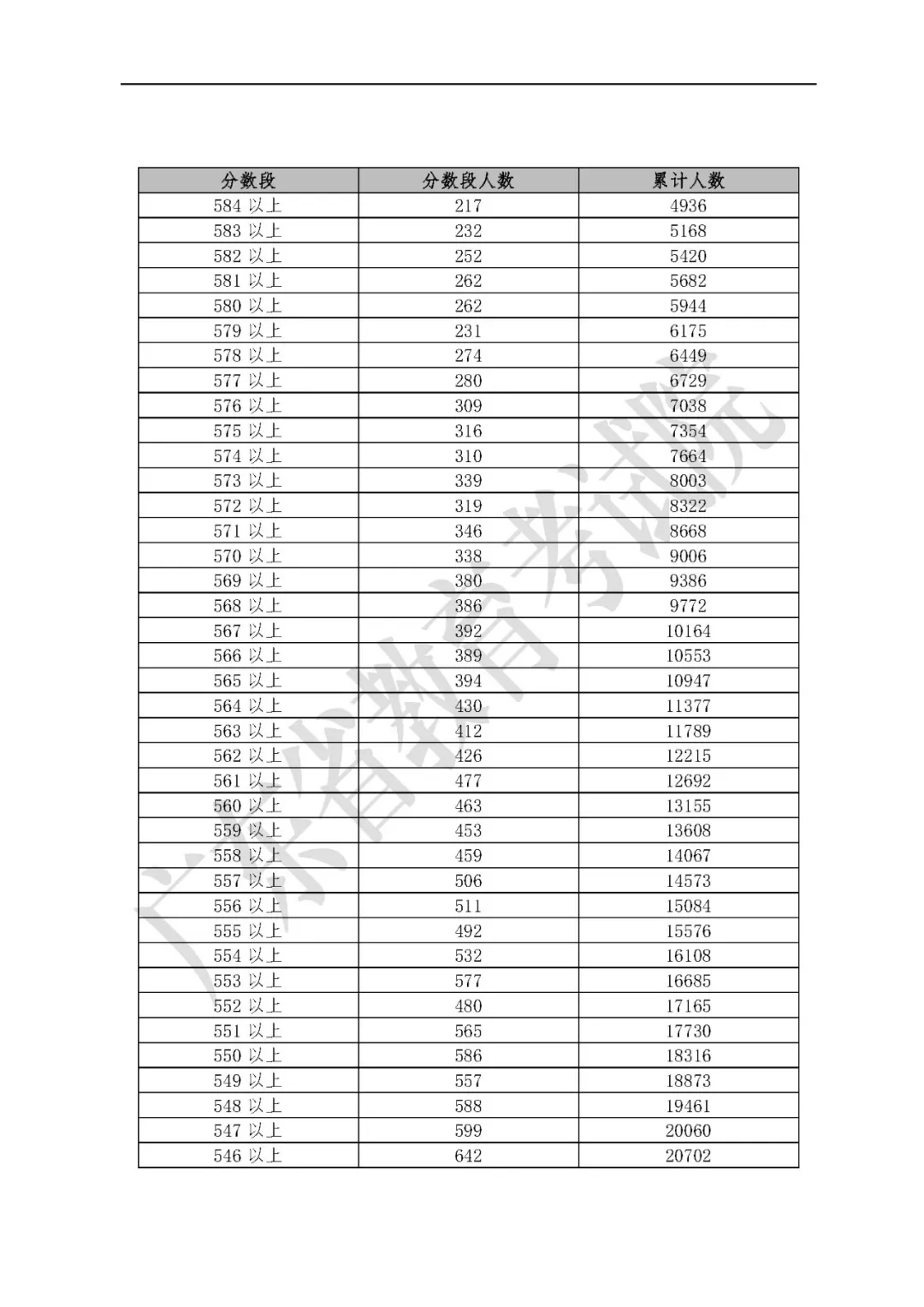
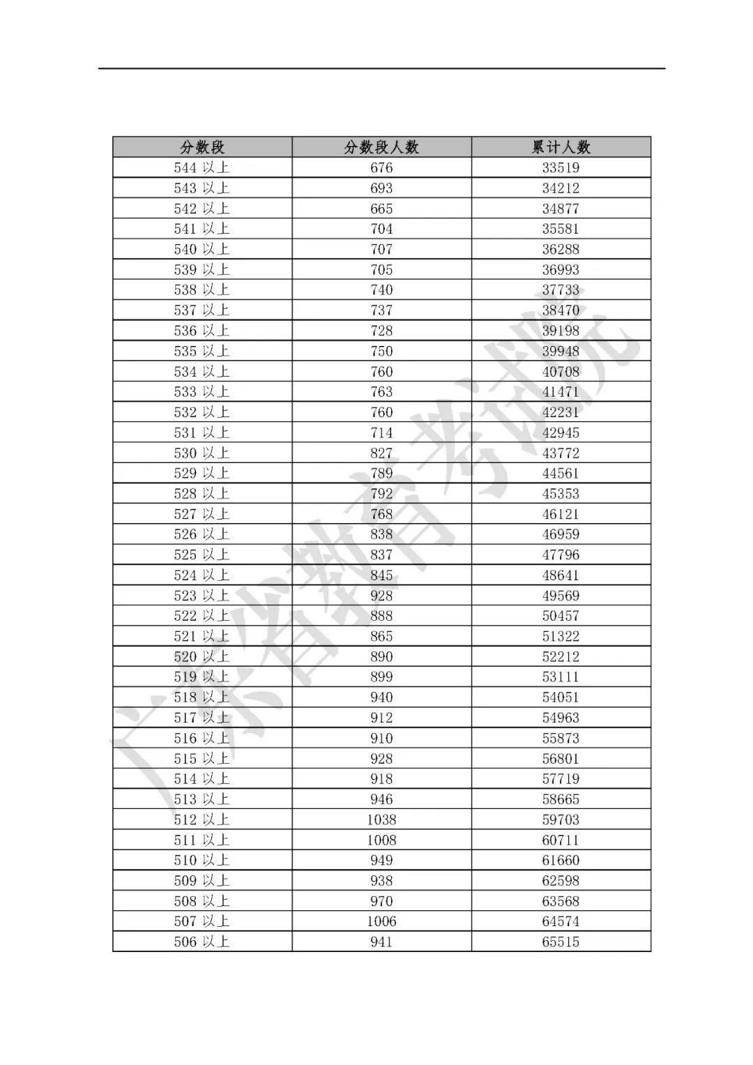
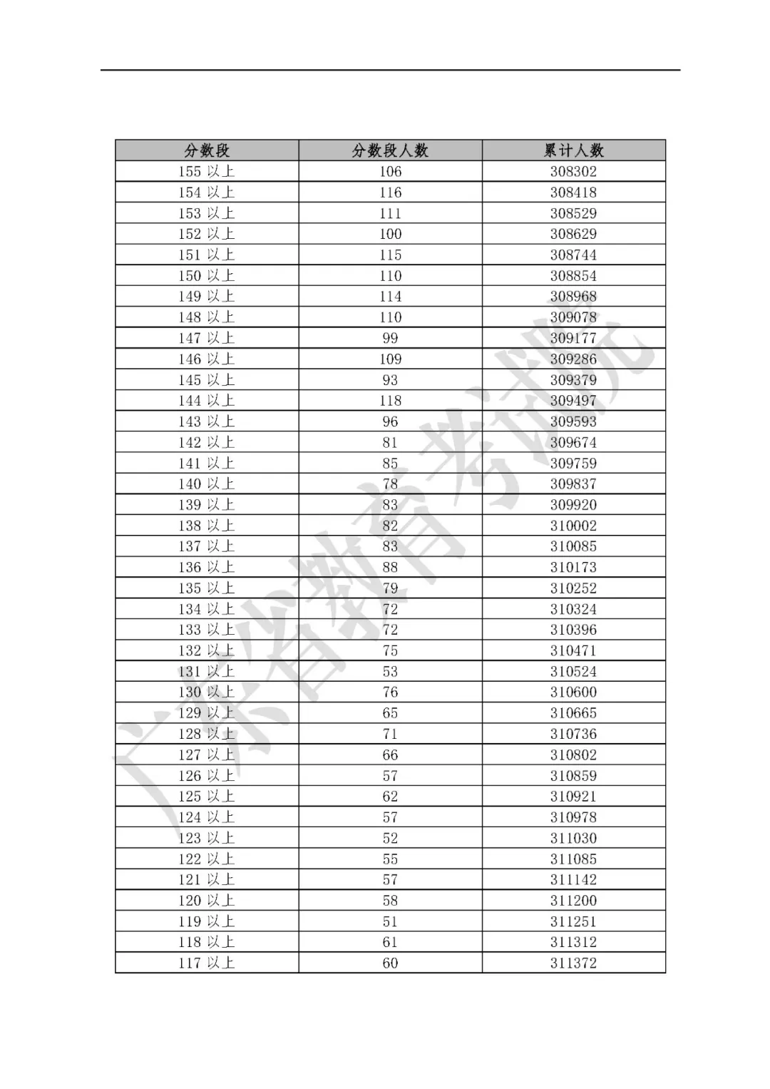
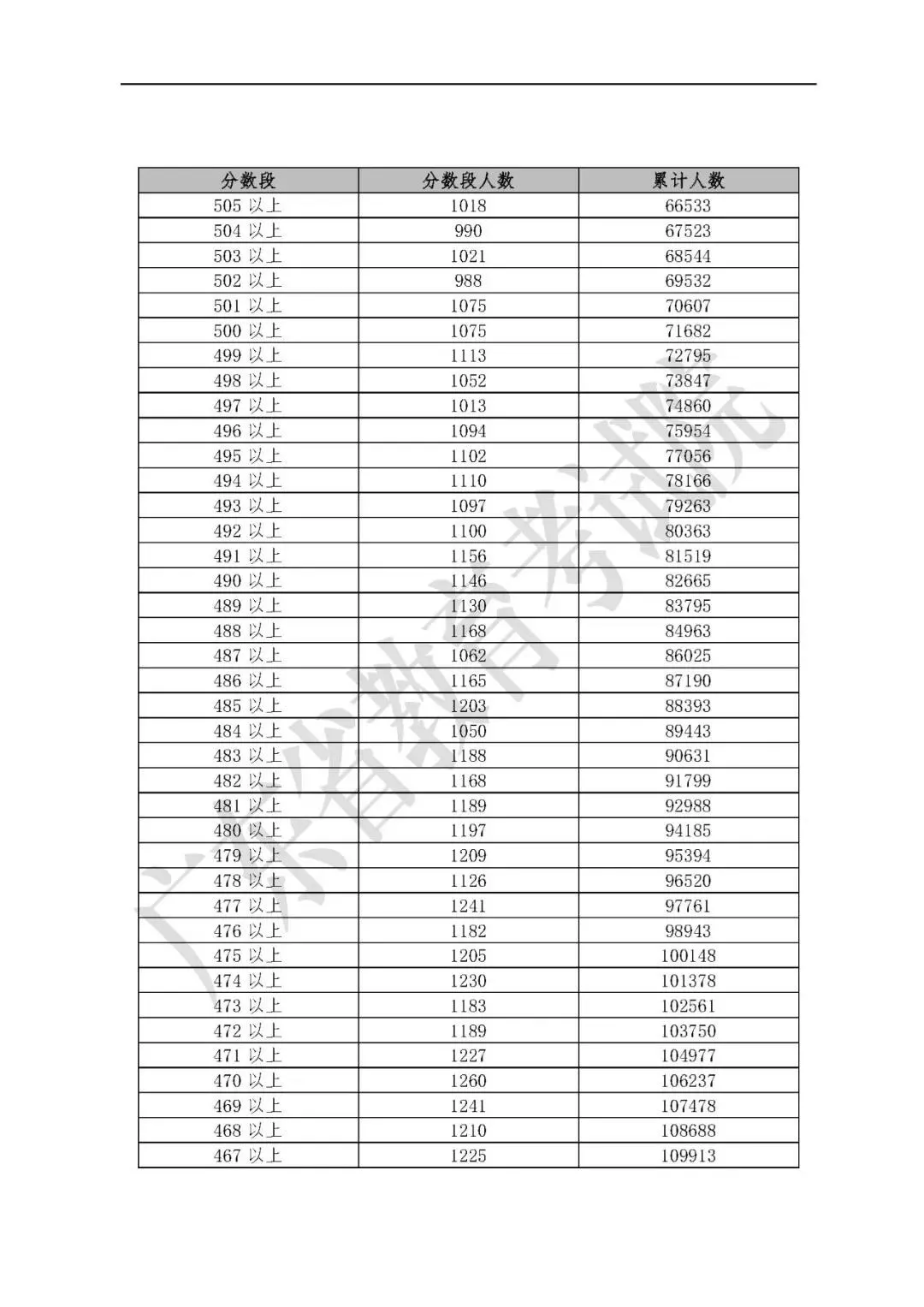
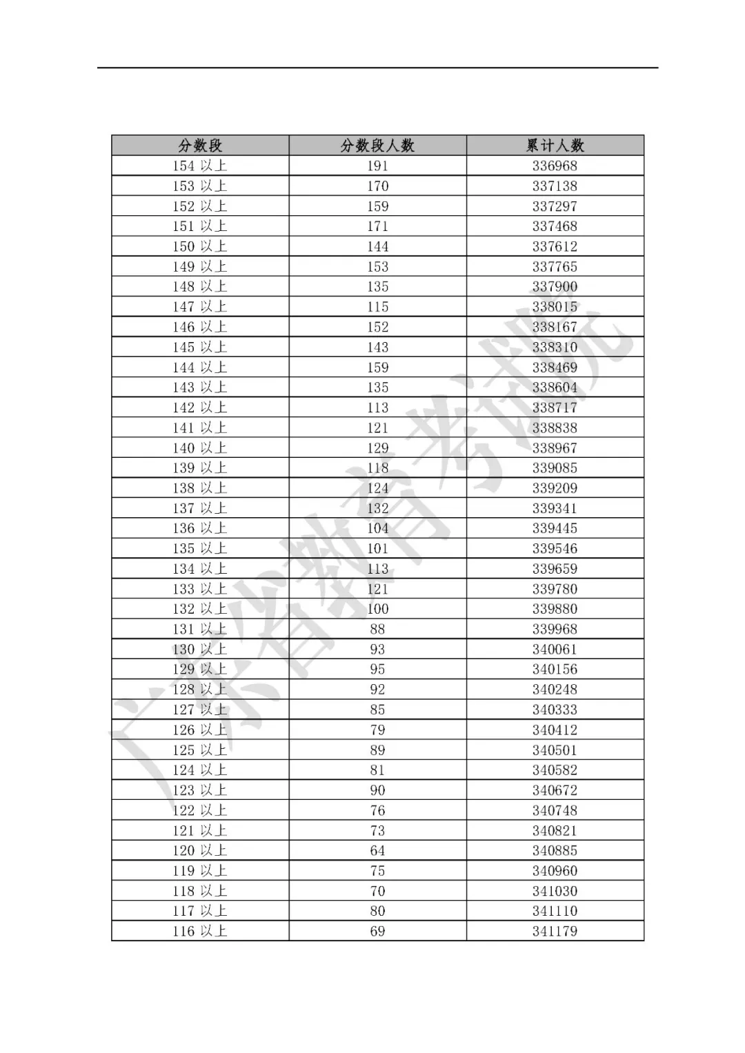
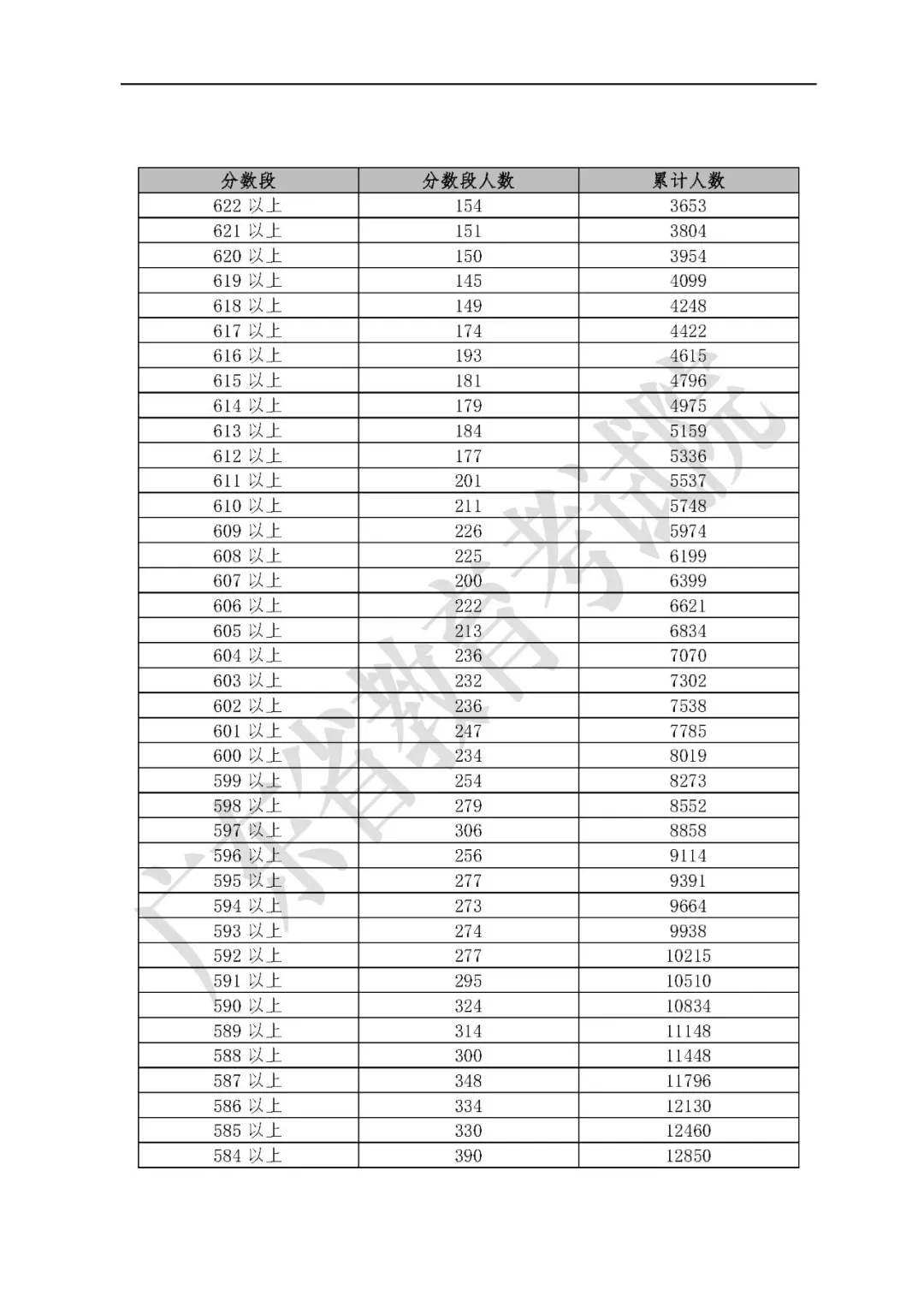
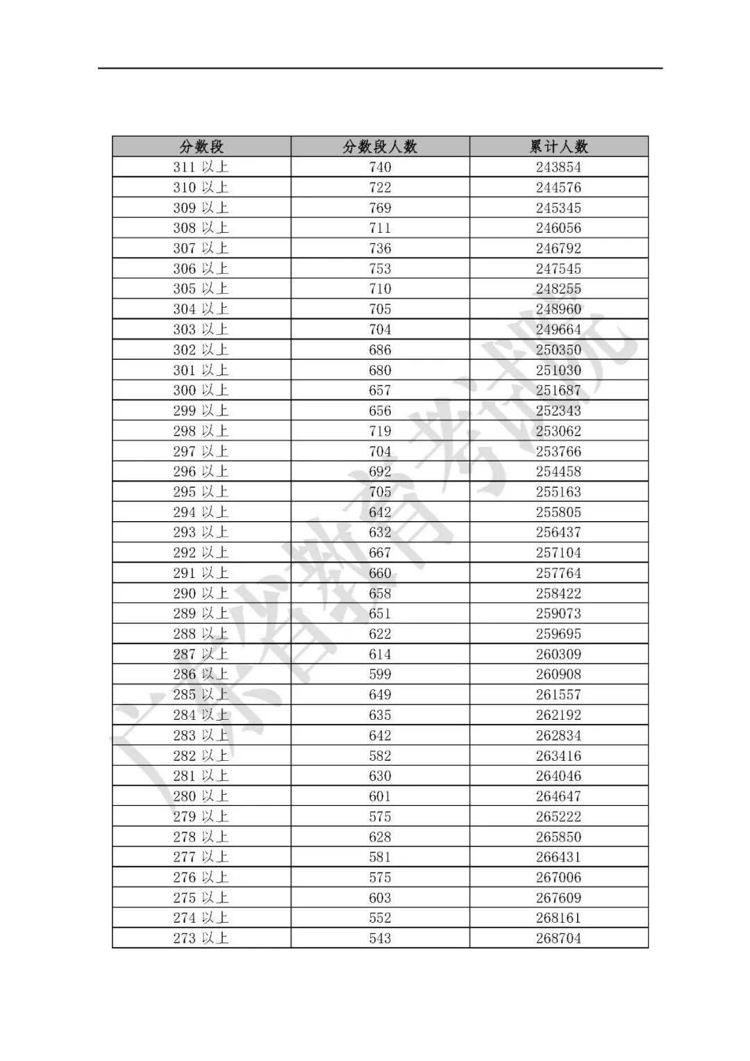
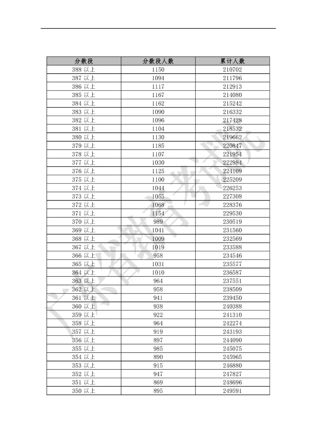
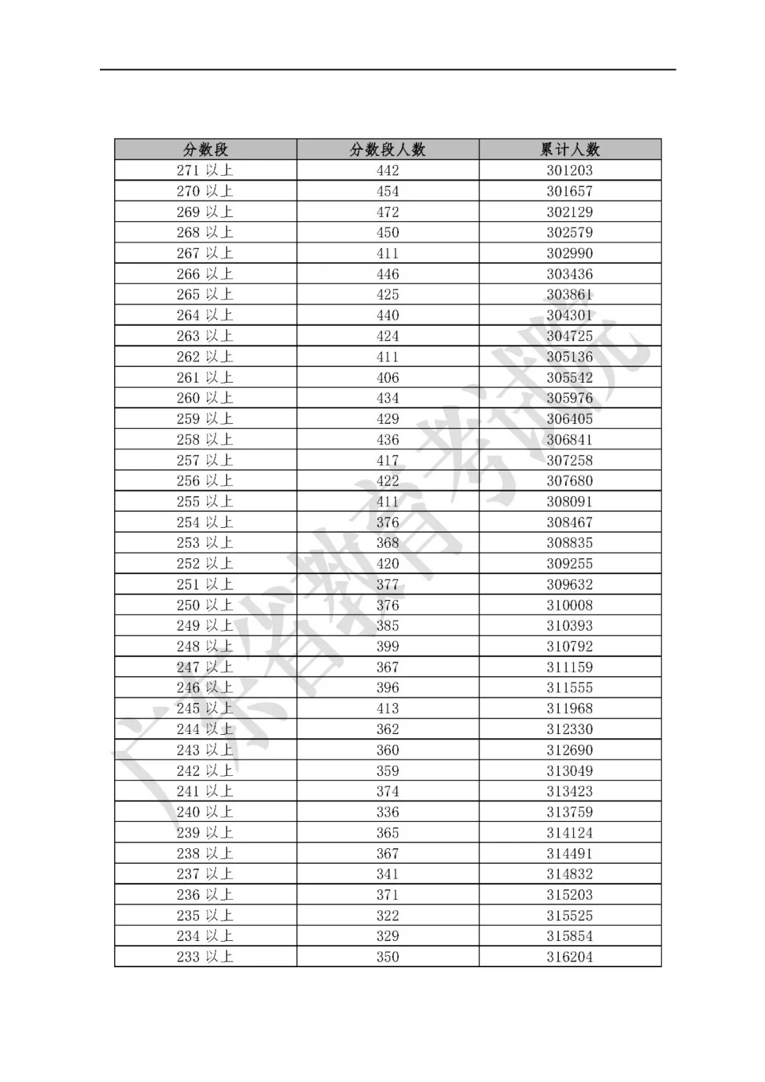
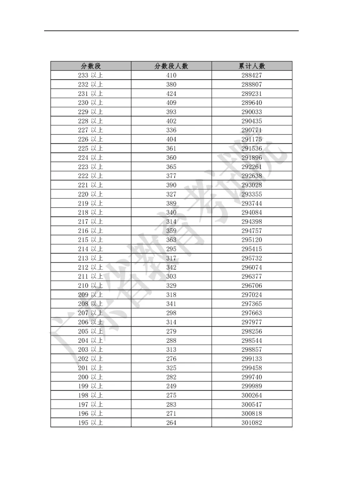
深圳新闻网2019年6月24日讯 广东省2019年普通高校招生考生填报志愿时间为6月25日-7月2日,为便于考生填报志愿,确保志愿填报工作顺利进行,现将广东省今年普通高考各科类考生各分数段成绩数据予以公布,往下看↓↓↓

来源 |广东省教育考试院


[责任编辑:施冰冰]

新闻评论