见圳客户端·深圳新闻网2019年10月10日讯 10月8日深圳市地方金融监督管理局(深圳市政府金融工作办公室)发布了关于网贷失信惩戒第一批失信人名单的通知。
据悉,根据深圳市地方金融监督管理局此前发布的《关于加强深圳市网贷行业严重失信行为联合惩戒工作的通知》,为落实失信惩戒工作,各网贷平台及深圳市互联网金融协会先后公示多批失信人员名单。
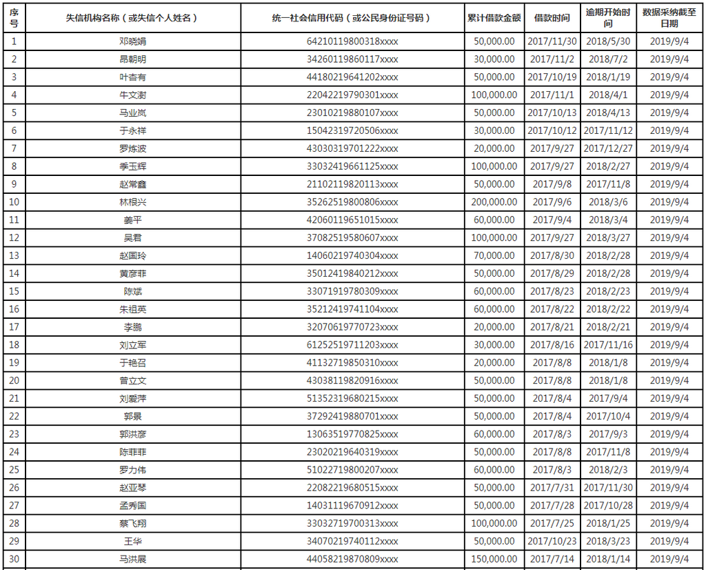
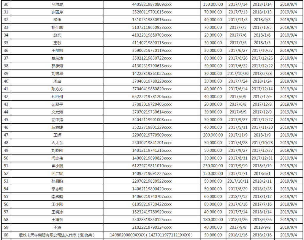
为进一步维护网贷行业秩序,加强失信惩戒力度,深圳市地方金融监督管理局对深圳市互联网金融协会报送的数据进行信息整理、资料评估、数据筛查后,公布了第一批74名失信网贷借款人的相关信息。
网络借贷信息中介机构失信人信息表



图表来源:深圳市地方金融监督管理局官网
据深圳市地方金融监督管理局披露的网络借贷信息中介机构失信人信息表显示,74名失信网贷借款人中,有5名是企业的法人代表,分别为运城市天年商贸有限公司法人代表张俊兵、益阳市逸晨贸易有限公司法人代表熊迎春、南宁市亮辉二手车交易有限责任公司法人代表肖传富、清徐县乐村淘电子商务有限公司法人代表罗栋及运城市韩大汽车销售服务有限公司法人代表韩立哲。其中,运城市韩大汽车销售服务有限公司法人代表韩立哲逾期金额居首,达到了100万元,借款时间是2018年4月2日,逾期开始时间是2018年10月2日,截至2019年10月9日已逾期一年多。
深圳金融监管局特别提示,若名单内的借款人出现异议,请将相关佐证材料发送至深圳互金协会邮箱szifapublic@szifa.org.cn,由协会整理相关材料报送至深圳金融监管局。同时,深圳监管方表示,将会陆续公示失信网贷借款人名单,并将相关信息报送征信机构。